공지사항

홈 > 학생광장 > 공지사항

제목 | 일반[학점인정신청안내] 학점은행제 및 시간제등록제 학점인정신청안내

관리자작성일 : 2016.01.13 16:35조회수 : 2,457

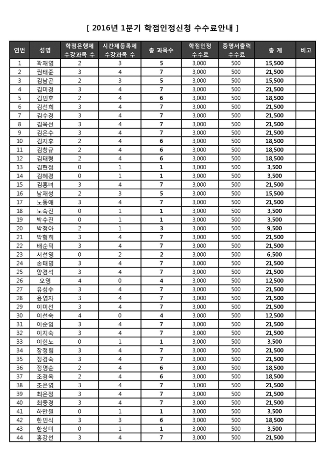
[ 학점은행제 및 시간제등록제 과목 학점인정 신청안내 ]
 
국가평생교육진흥원 학점은행제 학점인정신청 안내드립니다.
 
*학점인정신청대상
  - 본원에서 학점인정신청을 1회 이상 진행한 자
 
*학점인정신청과목
  - 2015학년도 2학기 학점은행제 및 시간제등록제 수강과목
 
*학점인정신청안내
  1) 수수료입금일자: 이번주 금(15일) 14시까지
  2) 수수료계좌안내: 기업 054-102302-01-011 예금주: 임란정 (본인이름으로 입금바람)
    수강과목수 x 학점인정신청수수료+성적증명서 출력수수료
      · 학점인정수수료: 1과목(3학점)3,000
      · 성적증명서 출력수수료: 500